“脂”指高峰系列之二:“植”脂高峰
脂质作为生物体膜结构的主要成分,信号分子和能量物质,参与生长发育、神经信号转导、光合作用等多种生理过程。脂质代谢紊乱与各种病理过程以及植物的生物胁迫与非生物胁迫等密切相关。脂质组学的应用领域和参与的生物过程如图所示:

前不久,小编为大家分享了一篇“脂”指高峰,影响因子为13.3的文章。脂类是大脑主要的组成成分,甚至有些是调控大脑功能的信号脂分子。所以研究者采用的是脂质组学技术来检测慢性压力对大鼠脑组织各区域的影响。这篇文章设计思路简洁明了,利用脂质组学经典思路,得到13.3分的高影响因子(想发高分的要趁早,不走寻常路),相比大多数还在实验室搬砖等着发文章的苦逼,真可谓是人生赢家。
今天我们将为大家分享“脂”指高峰系列之二:植脂高峰。这篇文章研究者主要研究的是脂质与植物生长发育的关系,发表在New Phytologist,影响因子7.33分。废话不多说,让我们一起开始今天的文献解读吧。
Transcriptomic and lipidomicprofiles of glycerolipids during Arabidopsis flower development
对甘油酯在拟南芥花发育过程的系统生物学研究--转录组和脂质组指纹图谱分析
New Phytologist IF=7.33
研究背景
尽管现有的一些研究结果表明了甘油酯在花的发育过程中扮演着重要的角色,但却还没有人研究过拟南芥的花。因此,研究者决定展开这方面的研究。此外基因层面对拟南芥花的发育研究的比较多,然而下游的研究却是很缺乏的。所以研究者从转录组学和脂质组学两个层面研究甘油酯在拟南芥花的发育过程中的变化和关联。
样本
pAP1::AP1-GRap1-1 cal-5 转基因株系,pab1 pab2突变株系,花序。
技术方法
脂质组+qRT-PCR
实验流程

研究结果
1. 同步发育株系构建:地赛米松(DEX)处理过pAP1::AP1-GR ap1-1 cal-5 转基因株系后,观察到花序能够发育同步。这表明转基因株系构成成功,能够搜集到足够的样本用于本次的研究。不同天数下的发育情况如图:
D0-4称为发育早期阶段,D6-8为发育中期阶段,D10-14为发育晚期阶段。
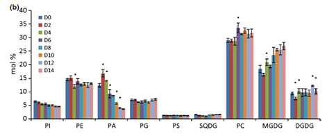
2. 不同发育阶段的脂质定量分析:发育早期,PA在DEX处理后的第2天,有一个短暂的增加,随后下降。发育中期,PC有一定的增加。MGDG在发育过程中稳步增加。其他的甘油脂class变化不是太显著,表现的比较稳定。

3.与甘油酯代谢有关基因的qRT-PCR结果:有的基因在发育过程中表达水平稳定,有的只在特定的某个发育阶段表达水平发生显著变化,部分截图如图所示:

4.脂质代谢与基因调控:结合甘油酯的表达谱和qRT-PCR结果,研究者发现在不同发育阶段,甘油酯代谢途径是具有显著差异的。橙色标记的是富集的脂类,蓝色标记的是高表达水平的基因。

5.表型确证: PA 磷酸酯酶活性受损的pab1 pab2突变株,PA浓度较高,发育存在缺陷,如图所示。虽然pAP1::AP1-GR ap1-1 cal-5 转基因株系PA在发育早期浓度也比较高(D2),但随后开始下降,发育良好。因此,研究者推断,PA对花的器官发育起重要作用, pab1 pab2是重要调控基因。

结论
拟南芥花的发育过程中,不同阶段的甘油酯代谢pathway是有显著的区别的。其中PA更是扮演着重要的角色。该结果揭示了PA代谢调控基因pab1 pab2对花器官发育的关键作用。
文章延伸
1. 本文运用脂质组学对拟南芥花的发育展开研究。这只是脂质组学的其中一个应用方向而已。脂质组学的研究相比代谢组学而言,更具有创新性,容易发高分文章。
2. 本文基于研究者的背景知识,只特异性的研究了甘油酯(包括甘油磷酯在内)。但除了这两类外,脂质还包括脂肪酸类、鞘脂类、固醇脂类、糖脂类、孕烯醇酮脂类和多聚乙烯类,如下所示:

【插播广告】中科新生命的脂质组学技术平台采用的是高端大气上档次的Orbitrap平台, 结合lipidsearch能够为客户提供上述的8大类脂质species水平的定性定量结果(FA不太适合LC-MS平台的鉴定),有着严格的QC控制和丰富的数据分析内容。更多详细内容可直接email jxgao@sibs.ac.cn索取 。
3. 本文通过qRT-PCR来研究跟脂质代谢有关的酶。然后转录组,脂质组多组学联合分析,从而发现了不同发育阶段的脂质代谢pathway,这是一个很好的思路。下游的代谢组学和脂质组学虽然更加接近表型,但是更加深入的机理层面的研究,还是需要往上游方向去的。
【插播广告】无论是系统性的研究还是机制研究,中科新生命都有丰富的产品内容。

【插播广告】免费、干货云集、绝无广告推销的脂质组webniar:Webinar盛宴 | 修饰蛋白组学/脂质组学干货云集。你值得拥有!



