【非靶+靶向代谢组学】在尿液样本中的研究应用:您差了这篇文献
在世界范围内,肺癌死亡率在所有恶性肿瘤中占第一位,存活率非常低。目前诊断的方式有两种,一种是低剂量螺旋CT(LDCT)(假阳性率高且有放射损害),二是肿瘤组织化验(基因突变筛查),还没有一种无创的临床诊断标志物来指导治疗。今天介绍的一篇文献其研究目的就是通过对尿液进行代谢组学检测,从中寻找肺癌诊断生物标志物。(如对本文献感兴趣,可发邮件info_apt@sibs.ac.cn进行索取)

Non-invasive urinary metabolomic profiling identifies diagnostic and prognostic markers in lung cancer
从尿液中筛选肺癌诊断和预后标志物
Cancer Research IF=9.3215
高分代谢组学决定点1:样本
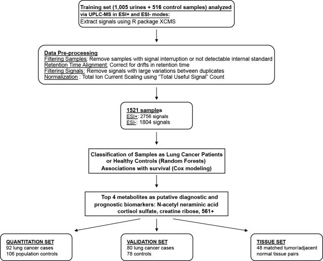
前期筛选样本(1005例):花费十年(1998~2007)收集样本:469例病人(治疗前尿液)+536例健康人
后期验证样本(158例):近期(2008–2010)收集的样本:80例病人(治疗前尿液)+78例健康人
组织样品:48例肿瘤组织及其周边非肿瘤组织
高分代谢组学决定点2:技术流程
前期非靶筛选+后期靶向MRM验证
研 究 结果
1、前期筛选
前期筛选样品的非靶向代谢组学分析,正离子模式下共检测到1807个新号,负离子检测到1359个。通过对吸烟相关代谢物(cotinine, nicotine-N’-oxide和 trans-3’-hydroxycotinine)的检测,发现可以很好的将吸烟人群与非吸烟人群区分开,验证了分析方法的可行性。
2、高分代谢组学决定点3 数据分析:
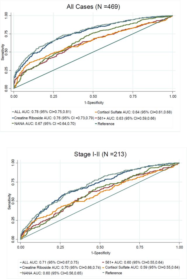
2.1 诊断与分型研究:应用统计学分析方法,排除人种和性别的干扰后,作者鉴定到了四个差异代谢物: NANA; cortisol sulfate; creatine riboside 和 561+(未鉴定物质)。ROC分析发现四个差异代谢物在所有人群中AUC值在0.63~0.76之间,在I-II期肺癌人群中在0.59~0.70之间。其中用creatine riboside或者全部四种代谢物预测更加准确(P<0.00001)。
Overlap between signals that are predictive of lung cancer status in the training set based on the Random Forests classification.
Receiver Operating Characteristic (ROC) analysis of individual metabolites and their combination
2.2 预后研究:在综合考虑了性别,人种,疾病阶段,组织切片,吸烟史,放化疗,外科手术等等多方面因素后作者发现高含量的NANA; cortisol sulfate; creatine riboside 和 561+带来不好的预后效果(存活率低),而且这四种代谢物与存活率的相关性是独立的但却有累加效应;在I-II期肺癌人群中,高含量的creatine riboside 和 561+也会降低病人的存活率。
3、后期验证
同样使用非靶向代谢组学方法,发现在验证人群(80例病人+78例健康人)中creatine riboside, NANA和561+在病人尿液中的含量都有显著升高。在排除年龄、性别与人种干扰后选择198例样品(92例病人+106例健康人)进行靶向代谢组学,验证了这四种代谢物与疾病的相关性。此外,为证明这四种代谢物的稳定性,作者样品保存两年后再次重复了实验,证明它们临床应用的价值。
Abundance and validation of metabolites that were top contributors in the classification of patients as lung cancer or healthy controls.
4、机理研究方面的延伸
作者最后在肿瘤组织中检测上述四种代谢物的含量,发现与邻近组织相比,肿瘤组织中Creatine riboside和NANA的含量明显升高,同时Creatine的含量也有增加。









